CIE Nov 2017 v2 Paper 4 Q3

Answers available below

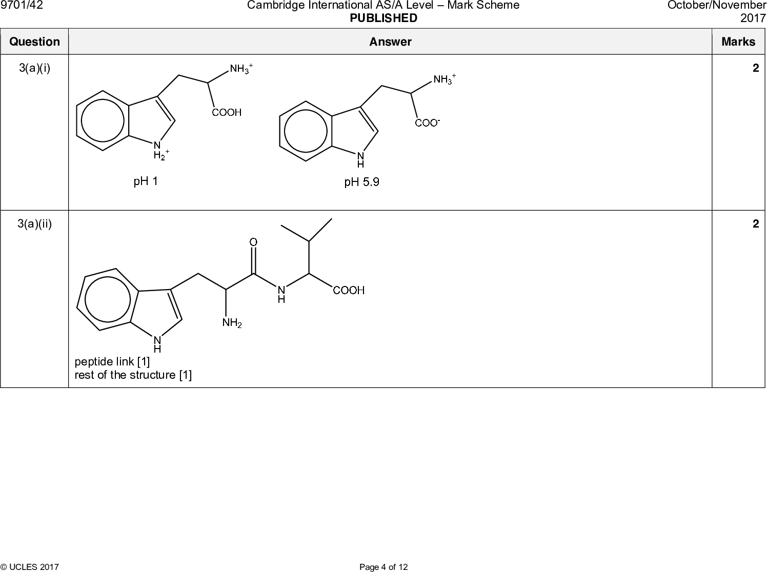
Serotonin can be synthesised from the amino acid tryptophan in two steps. PMT NH2 CO2H N H tryptophan HO HO NH2 CO2H NH2 N H N H serotonin (a) (i) In a buffer solution at pH 5.9, a sample of tryptophan does not move during electrophoresis. Draw the structures of the ions formed by tryptophan at pH 1.0 and pH 5.9. pH 1.0 pH 5.9 (ii) Tryptophan can combine with valine to form a dipeptide. Use the Data Booklet to draw the structure of this dipeptide. [2] [2]UCLES 2017 9701/42/O/N/17<br />
 (b) Complete the following table to show the structures of the products formed and the type of reaction occurring when serotonin reacts with the four reagents in separate reactions. reagent structure of product type of reaction PMT Na excess Br2(aq) excess CH3COCl excess H2 / Pt catalyst [8]UCLES 2017 9701/42/O/N/17 [Turn over<br />
 PMT (c) Serotonin is converted by enzymes in the liver to compound M. HO NH2 enzymes HO N H serotonin OH N H (i) By reference to the Data Booklet, suggest how the infra-red spectrum of M would differ from that of serotonin.[1] (ii) The proton NMR spectrum of M dissolved in CDCl 3 shows eight peaks due to the eight different types of proton present in the molecule. The proton NMR spectrum of M dissolved in D2O was recorded. Predict the number of peaks that would be seen in the proton NMR spectrum of M in D2O. Explain your answer. number of peaksexplanation[2] (d) Compound M can be polymerised under certain conditions to form polymer N, shown. N H Polymer N is biodegradable, unlike polyethene which is not. Explain why N is biodegradable.[1] [Total: 16]UCLES 2017 9701/42/O/N/17<br />

Show answer