CIE Nov 2016 v1 Paper 3 Q3

Answers available below

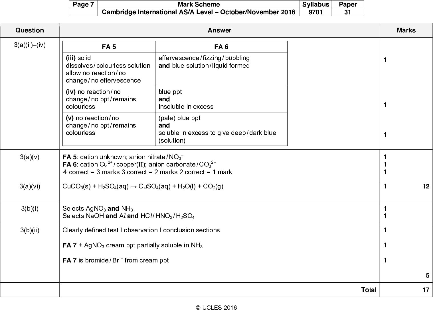
PMT Qualitative Analysis At each stage of any test you are to record details of the following.colour changes seen the formation of any precipitate the solubility of such precipitates in an excess of the reagent added Where gases are released they should be identified by a test, described in the appropriate place in your observations. You should indicate clearly at what stage in a test a change occurs. No additional tests for ions present should be attempted. If any solution is warmed, a boiling tube MUST be used. Rinse and reuse test-tubes and boiling tubes where possible. Where reagents are selected for use in a test, the name or correct formula of the element or compound must be given. (a) FA 5 and FA 6 are solids each containing one cation and one anion. Carry out the following tests and record your observations in the table below. observations FA 5 FA 6 test (i) Place a spatula measure of solid in a hard-glass test-tube and heat gently at first, then heat strongly until no further change takes place. Leave the tube to cool completely then add a 2 cm depth of dilute sulfuric acid to the solid residue. Shake the contents of the tube then leave it to stand.UCLES 2016 9701/31/O/N/16 [Turn over<br />
 PMT FA 5 observations FA 6 test (ii) Place a spatula measure of solid in a boiling tube and add a 2 cm depth of dilute sulfuric acid. Keep the solutions formed in (ii) for tests (iii) and (iv). (iii) To a 1 cm depth of solution from (ii) in a test-tube, add aqueous sodium hydroxide. (iv) To a 1 cm depth of solution from (ii) in a test-tube, add aqueous ammonia. (v) Identify as many ions as you can from your observations. Write unknown where you have not been able to identify an ion. FA 5: cationanionFA 6: cationanion(vi) Write an equation, including state symbols, for the reaction between FA 6 and dilute sulfuric acid.[12]UCLES 2016 9701/31/O/N/16<br />
 (b) FA 7 is a solution containing one anion from those listed on page 11. The anion is either a halide or contains nitrogen. (i) You are to select suitable reagents to determine the identity of this anion. Record these in a suitable form below. PMT (ii) Use these reagents to carry out tests to identify the anion in FA 7. Record your observations and conclusions in the space below.UCLES 2016 9701/31/O/N/16 [5] [Total: 17] [Turn over<br />

Show answer